Στο 30% φτάνει μεσοσταθμικά το «ψαλίδι» στις… αντικειμενικές δαπάνες που ενεργοποιήθηκε από την πρώτη μέρα του 2026
«Ψαλίδι» που φτάνει μεσοσταθμικά το 30% ενεργοποίησε από την πρώτη ημέρα του 2026 το οικονομικό επιτελείο με την αναμόρφωση των τεκμηρίων διαβίωσης. Πρόκειται για ένα αναχρονιστικό μέτρο, το οποίο «καίει» κάθε χρόνο πάνω από 480.000 φορολογουμένους, καθώς καλούνται να πληρώσουν φόρους για εισοδήματα που δεν έχουν.
Η ρύθμιση προβλέπει ακόμα πλήρη απαλλαγή από το ελάχιστο τεκμήριο των 3.000 ευρώ για τα εξαρτώμενα παιδιά των φορολογουμένων που διαθέτουν δικό τους εισόδημα.
Τα ακίνητα
Σε ισχύ βρίσκονται και οι μειώσεις έως 35% στα τεκμήρια διαβίωσης των κατοικιών. Πλέον το τεκμήριο διαβίωσης για την κύρια κατοικία θα υπολογίζεται κλιμακωτά με βάση την επιφάνειά της και μειώνεται ως εξής:
- Μέχρι και 80 τ.μ. κύριοι χώροι, 28 ευρώ ανά τ.μ. (από 40 ευρώ/ τ.μ.)
- Από 81 τ.μ. μέχρι και 120 τ.μ. κύριοι χώροι, 45 ευρώ ανά τ.μ. (από 65 ευρώ/τ.μ.)
- Από 121 τ.μ. μέχρι και 200 τ.μ. κύριοι χώροι, 77 ευρώ ανά τ.μ (από 110 ευρώ/τ.μ.)
- Από 201 τ.μ. μέχρι και 300 τ.μ. κύριοι χώροι, 140 ευρώ ανά τ.μ. (από 200 ευρώ/τ.μ.)
- Από 301 τ.μ. και άνω κύριοι χώροι, 280 ευρώ ανά τ.μ. (από 400 ευρώ/ τ.μ.)
Τα ποσά προσαυξάνονται κατά 40% για κατοικίες που βρίσκονται σε περιοχές με τιμή ζώνης από 2.800 ευρώ έως 4.999 ευρώ το τ.μ. και κατά 70% για περιοχές με τιμή ζώνης από 5.000 ευρώ και άνω το τετραγωνικό. Για τις μονοκατοικίες εφαρμόζεται προσαύξηση 20% ενώ για τις δευτερεύουσες κατοικίες τα ποσά μειώνονται κατά 50%.
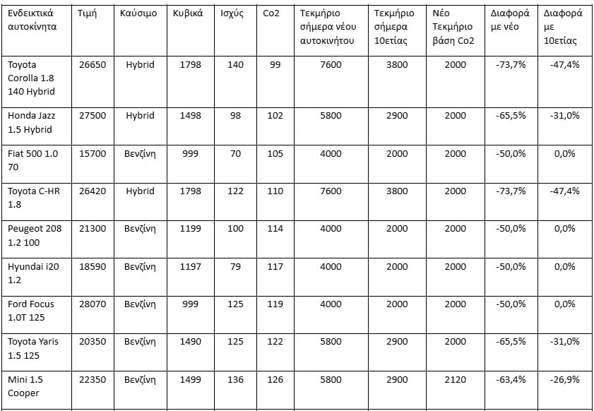
Μέχρι το τέλος του 2025 οι αντικειμενικές δαπάνες για τα αυτοκίνητα υπολογίζονταν αποκλειστικά με βάση τα κυβικά εκατοστά, ενώ προβλεπόταν μείωση του ποσού ανάλογα με την παλαιότητα 30% για αυτοκίνητα 5-10 ετών και 50% για αυτοκίνητα άνω των 10 ετών.
Πλέον, για αυτοκίνητα που έχουν ταξινομηθεί μετά τις 1/11/2010 οι αντικειμενικές δαπάνες θα προσδιορίζονται με βάση τις εκροές ρύπων Co2 (κατ’ αναλογία με τα τέλη κυκλοφορίας), με σημαντική μείωση των αντικειμενικών δαπανών, προσομοιάζοντας το ύψος των αντικειμενικών δαπανών που έχουν σήμερα τα αυτοκίνητα άνω των 10 ετών.
Για όλα τα Ι.Χ. παλαιότητας μέχρι 15 ετών, δηλαδή για όσα έχουν ταξινομηθεί μετά την 1η Νοεμβρίου 2010, οι αντικειμενικές δαπάνες θα προσδιορίζονται με βάση τις εκπομπές Co2 (κατ’ αναλογία με τα τέλη κυκλοφορίας), με σημαντική μείωση των αντικειμενικών δαπανών, προσομοιάζοντας το ύψος των αντικειμενικών δαπανών που έχουν σήμερα τα αυτοκίνητα άνω των 10 ετών.
Από αυτόν τον νέο τρόπο υπολογισμού θα προκύψουν μειώσεις στα ποσά των τεκμηρίων που θα είναι μεγαλύτερες και θα ξεπερνούν ακόμα και το 50% για τα Ι.Χ. νέας τεχνολογίας και παλαιότητας μέχρι 5 ετών και μικρότερες για αυτοκίνητα παλαιότητας 10 ετών.
Για τα Ι.Χ. παλαιότητας άνω των 15 ετών, δηλαδή για όσα κυκλοφόρησαν πρώτη φορά στην Ε.Ε. μέχρι και το 2010, τα ποσά των τεκμηρίων διαβίωσης θα παραμείνουν αμετάβλητα.
«Τιμωρούνται» οι προ του 2010 ιδιοκτήτες Ι.Χ.
Πίσω από τους πανηγυρισμούς για τις μειώσεις τεκμηρίων στα οχήματα υπάρχει μια μεγάλη ομάδα πολιτών που εξαιρείται πλήρως από τις ελαφρύνσεις: οι κάτοχοι Ι.Χ. με άδεια κυκλοφορίας προ του 2010.
Πρόκειται κυρίως για πολίτες με χαμηλά ή μεσαία εισοδήματα, οι οποίοι εξακολουθούν να χρησιμοποιούν παλαιά οχήματα όχι από επιλογή αλλά από ανάγκη. Η αδυναμία αγοράς ενός νεότερου αυτοκινήτου δεν οφείλεται σε αδιαφορία για το περιβάλλον, αλλά στην έλλειψη χρημάτων. Με την ακρίβεια που σαρώνει τα μεσαία νοικοκυριά, το κόστος αγοράς ενός νέου οχήματος είναι κάτι παραπάνω από απαγορευτικό.
Ετσι, ένα παλιό όχημα συνεχίζει να τιμωρείται και να αντιμετωπίζεται από την Εφορία σαν πολυτελές αυτοκίνητο. Σε πολλές περιπτώσεις, μάλιστα, τα αυξημένα κυβικά των παλαιών οχημάτων (οι κατασκευαστές σχεδιάζουν πλέον οχήματα με όλο και λιγότερα κυβικά με την εξέλιξη της τεχνολογίας) οδηγούν σε φορολογία σύγχρονων… super cars.
Το νέο σύστημα δεν παρέχει στους ιδιοκτήτες παλαιών οχημάτων καμία ουσιαστική ελάφρυνση. Αντιθέτως, τους διατηρεί εγκλωβισμένους σε υψηλά τεκμήρια, που συχνά δεν ανταποκρίνονται στην πραγματική οικονομική τους δυνατότητα.
Ετσι, οι πιο αδύναμοι φορολογούμενοι τιμωρούνται διπλά: Από τη μία, δεν μπορούν να επωφεληθούν από τις μειώσεις που συνδέονται με τις χαμηλές εκπομπές CO₂ και, από την άλλη, συνεχίζουν να φορολογούνται τεκμαρτά για οχήματα παλαιάς τεχνολογίας, μειωμένης αξίας και συχνά υψηλού κόστους συντήρησης.
Τα νέα τεκμήρια στα Ι.Χ.




